티스토리 뷰
목차
피타고라스와 그의 이름을 딴 정리는 기하학 수업을 들어본 적이 있다면 들어봤을 것입니다. 피타고라스 정리는 가장 유명하고 유용한 수학적 개념 중 하나이며 고대 그리스 철학자이자 수학자인 피타고라스의 이름을 따서 명명되었습니다.

목차
피타고라스는 누구였습니까?
피타고라스는 기원전 6세기 그리스의 사모스 섬에서 태어났습니다. 그는 수학 연구와 자연 세계와의 관계에 초점을 맞춘 피타고라스 학파를 설립한 것으로 가장 잘 알려져 있습니다. 피타고라스는 우주의 모든 것이 숫자와 서로 간의 관계로 설명될 수 있다고 믿었습니다.
수학에 대한 피타고라스의 공헌
피타고라스는 그의 이름을 딴 정리를 포함하여 많은 중요한 수학적 발견으로 인정받고 있습니다. 그러나 실제로 피타고라스 자신이 발견한 것과 그의 제자들이 발견한 것이 무엇인지 구별하기 어렵습니다.
그럼에도 불구하고 피타고라스 학파는 무리수의 발견과 기하학적 형태의 연구를 포함하여 수학의 발전에 중요한 공헌을 했습니다.
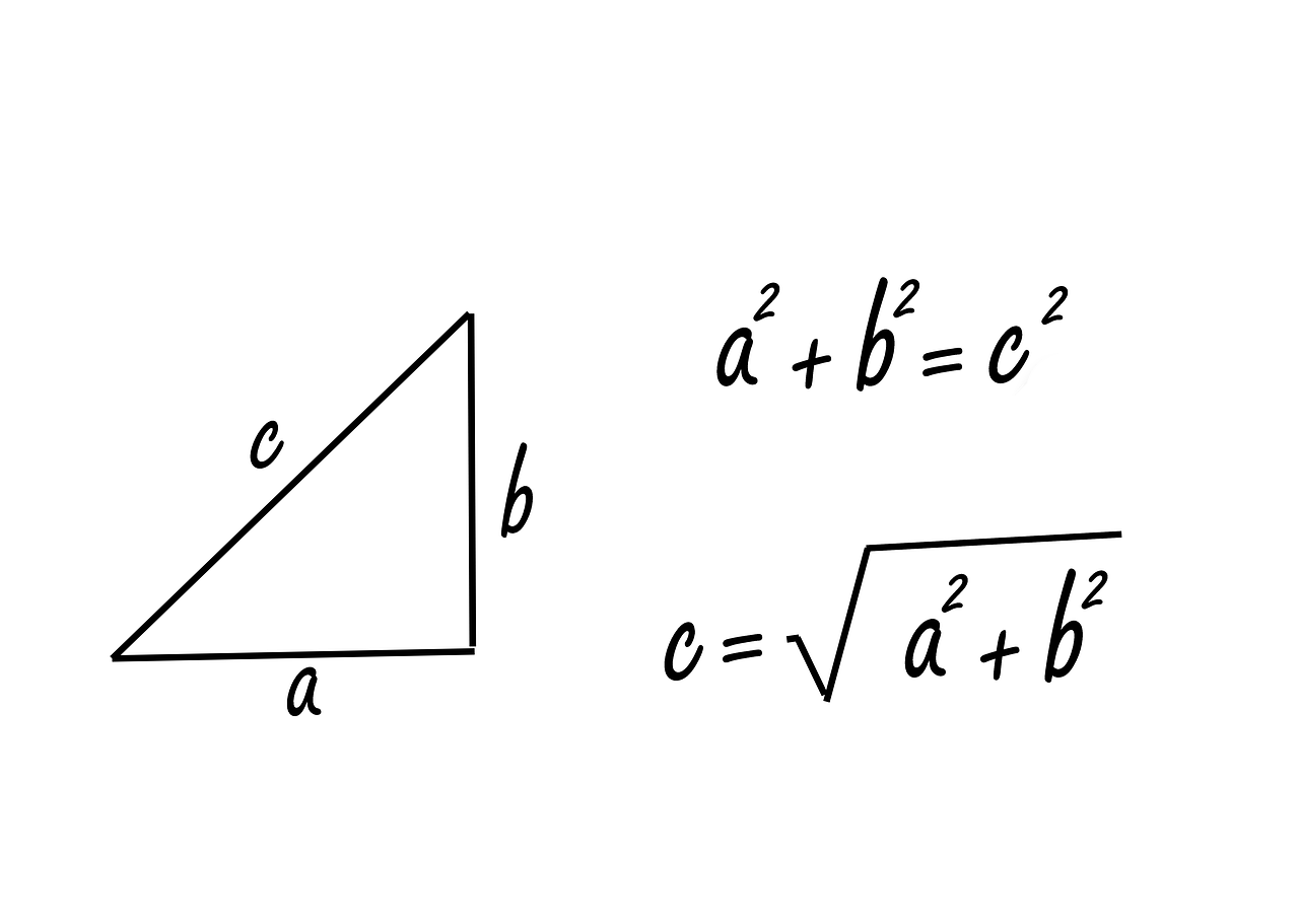
피타고라스 정리
피타고라스의 정리에 따르면 직각삼각형에서 빗변(직각의 반대쪽 변) 길이의 제곱은 다른 두 변 길이의 제곱의 합과 같습니다.

피타고라스의 정리는 공학, 건축, 물리학을 포함한 다양한 분야에서 매우 유용합니다. 2차원 평면에서 두 점 사이의 거리와 3차원 공간에서 대각선 길이를 계산할 수 있습니다. 또한 삼각법에서 직각 삼각형의 각도를 계산하는 데 사용됩니다.
피타고라스 정리 증명
피타고라스의 정리에는 다양한 증명이 있으며 간단한 것부터 복잡한 것까지 다양합니다. 가장 유명한 증명 중 하나는 정사각형을 사용하여 직각 삼각형의 세 변의 영역을 나타내는 것입니다.
정사각형을 재배치하면 두 개의 작은 정사각형의 넓이의 합이 가장 큰 정사각형의 넓이와 같다는 것을 증명할 수 있습니다.

피타고라스의 유산
수학과 철학에 대한 피타고라스의 공헌은 오늘날에도 계속 느껴집니다. 피타고라스의 정리는 여전히 전 세계 학교에서 가르치고 있으며, 숫자와 자연 세계의 관계에 대한 그의 생각은 역사상 수많은 과학자와 사상가에게 영향을 미쳤습니다.
피타고라스 학파는 또한 음악 이론에 중요한 공헌을 했으며 오늘날 일부 음악가들은 피타고라스 조율 시스템을 여전히 사용하고 있습니다.
결론
피타고라스는 수학과 철학 분야에 중요한 공헌을 한 뛰어난 사상가였습니다. 그의 유명한 정리는 그를 수학계의 전설로 만든 많은 발견 중 하나에 불과합니다.
피타고라스 정리와 그 적용을 이해함으로써 우리는 자연 세계의 아름다움과 복잡성에 대해 더 잘 이해할 수 있습니다.
FAQ
누가 피타고라스의 정리를 발견했습니까?
피타고라스의 정리는 수학자 피타고라스의 이름을 따서 이야 하지만 실제로 피타고라스가 어떻게 발견하고 어떻게 증명했는지는 정확히 전해오지 않고 있습니다. 수 많은 다른 수학자들의 증명들이 있습니다
피타고라스의 정리는 무엇을 위해 사용가능한지?
피타고라스의 정리는 직각 삼각형의 빗변 길이를 계산하고 2차원 평면에서 2점 사이의 거리를 찾는 데 사용됩니다.
피타고라스 튜닝 시스템이란 무엇입니까?
피타고라스의 튜닝 시스템은 피타고라스의 정리를 기반으로 하는 음악 튜닝 시스템입니다. 오늘날 일부 음악가들이 여전히 사용하고 있습니다.
피타고라스는 수학에 어떤 다른 공헌을 했습니까?
피타고라스와 그의 학교는 무리수의 발견과 기하학적 모양의 연구를 포함하여 수학에 많은 중요한 공헌을 했습니다.
피타고라스의 정리가 중요한 이유는 무엇입니까?
피타고라스의 정리는 공학, 건축, 물리학과 같은 분야에서 많은 실용적인 응용이 있기 때문에 중요합니다. 또한 직각 삼각형의 변 사이의 관계를 이해할 수 있습니다.
피타고라스와 음악 이론 사이의 관계는 무엇입니까?
피타고라스와 그의 학교는 피타고라스 조율 시스템의 개발을 포함하여 음악 이론에 중요한 공헌을 했습니다.
피타고라스의 정리는 오늘날에도 여전히 관련이 있습니까?
예, 피타고라스 정리는 여전히 전 세계 학교에서 가르치고 있으며 수학, 과학 및 공학을 포함한 다양한 분야에서 사용됩니다.
피타고라스의 정리를 3차원 공간에 적용할 수 있습니까?
예, 피타고라스의 정리를 사용하여 3차원 공간에서 대각선의 길이를 계산할 수 있습니다.
수와 자연 세계에 대한 피타고라스의 생각은 다른 사상가들에게 어떤 영향을 미쳤을까?
숫자와 자연 세계 사이의 관계에 대한 피타고라스의 생각은 아이작 뉴턴과 알버트 아인슈타인을 포함하여 역사상 수많은 과학자와 사상가에게 영향을 미쳤습니다.
다른 수학자 이야기들
"수학자들의 왕자" 칼 프리드리히 가우스의 생애와 업적
수학자들의 왕자로도 알려진 칼 프리드리히 가우스는 역사상 가장 영향력 있는 수학자 중 한 명이었습니다. 수학 분야에 대한 그의 공헌은 방대하고 다양했으며 그의 업적은 오늘날까지 현대
sojamin.com
에이다 러브레이스, 세계 최초의 컴퓨터 프로그래머이자 수학자
에이다 러브레이스는 세계 최초의 컴퓨터 프로그래머이자 수학자로 널리 알려져 있습니다. 컴퓨팅 분야에 대한 그녀의 공헌은 상당했으며 그녀의 유산은 계속해서 STEM(과학 Science, 기술 Technology
sojamin.com
'교육' 카테고리의 다른 글
| 쎈 수학 정답 바로가기 : 고등부 (0) | 2023.09.26 |
|---|---|
| 게오르그 칸토어의 생애와 업적, 집합론의 창시자 (0) | 2023.05.05 |
| "수학자들의 왕자" 칼 프리드리히 가우스의 생애와 업적 (0) | 2023.05.04 |
| 에이다 러브레이스, 세계 최초의 컴퓨터 프로그래머이자 수학자 (0) | 2023.05.03 |
| 유클리드의 삶과 유산 수학사의 업적 영향 (0) | 2023.05.03 |